• Предмет: Математика
  • Автор: younglady219
  • Вопрос задан 3 года назад

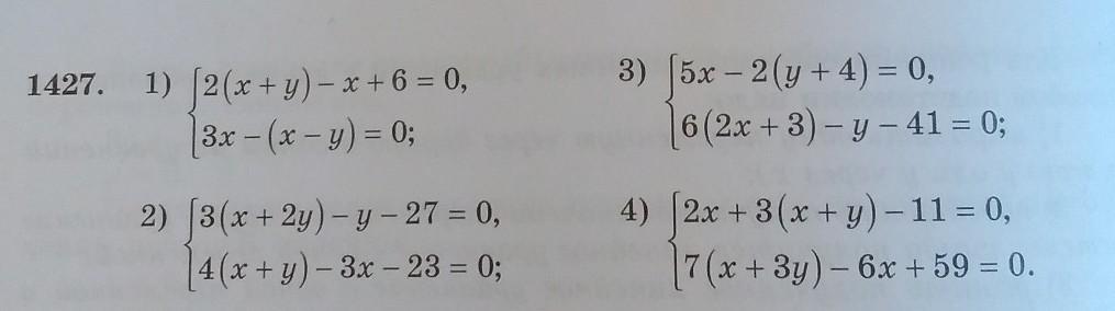
помогите дам 50 баллов за ответ с решением​

Приложения:

younglady219: можно только чётные решить

Ответы

Ответ дал: Пеппер
4

:::::::::::::::::::::::::::::::::::::::::::::

Приложения:

younglady219: здесь ничего не видно
Пеппер: а здесь?
younglady219: да, спасибо вам
younglady219: теперь видно
DERTPOL: МНЕ ПОМОГИТЕ ПОЖАЛУЙСТА МНЕ ПОМОГИТЕ ПОЖАЛУЙСТА МНЕ ПОМОГИТЕ ПОЖАЛУЙСТА МНЕ ПОМОГИТЕ ПОЖАЛУЙСТА МНЕ ПОМОГИТЕ ПОЖАЛУЙСТА МНЕ ПОМОГИТЕ ПОЖАЛУЙСТА
DERTPOL: МНЕ ПОМОГИТЕ ПОЖАЛУЙСТА
DERTPOL: МНЕ ПОМОГИТЕ ПОЖАЛУЙСТА МНЕ ПОМОГИТЕ ПОЖАЛУЙСТА МНЕ ПОМОГИТЕ ПОЖАЛУЙСТА
Вас заинтересует