Решите пожалуйста два, срочно. Это 6 класс, если что во втором нужно избавиться от минуса. Буду очень благодарна .
Приложения:

Simba2017:
1) второе умножить на 2 и сложить с первым
Ответы
Ответ дал:
1
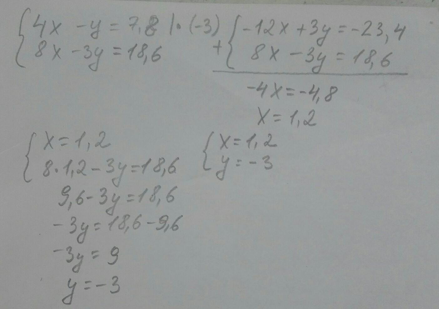
Ответ:
ответ на фотографии с решением
Приложения:


Вас заинтересует
2 года назад
2 года назад
2 года назад
8 лет назад
8 лет назад
9 лет назад
9 лет назад