решите уравнение: X2-12x=-27
polyazzz509:
Решай в Photomath и не будешь тут спрашивають
Ответы
Ответ дал:
4
Ответ:
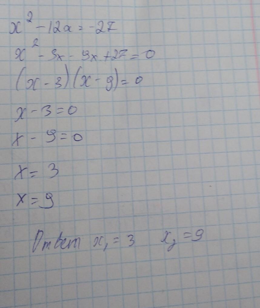
Приложения:

Ответ дал:
3
Решение:
х²−12=−27
Разложение на множители
Перенести условия в левую часть
х²−12=−27
х²−12−(−27)=0
Используйте формулу произведения суммы и разности
Определите в уравнении a, b и c, затем найдите два числа, произведение которых равно c, а сумма равна b.
х²−12+27=0
Разложите на множители
Разложите уравнение на множители.
(х−9)(х−3)=0
Запишите два уравнения
Приравняйте оба множителя к нулю.
х−9=0
х−3=0
Найдите значения
Чтобы решить уравнение, преобразуйте его и вычислите неизвестное.
x=9
x=3
Ответ:
х=9
х=3
Вас заинтересует
2 года назад
2 года назад
8 лет назад
9 лет назад