• Предмет: Математика
  • Автор: andreystarostin1990
  • Вопрос задан 3 года назад

помогите пожалуйста очень срочно!!!!!!!​

Приложения:

Ответы

Ответ дал: albina345p
0

Ответ:

Пошаговое объяснение:

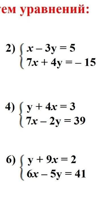
2) {x=5+3y

   {7(5+3y)+4y=-15

{x=5+3y

{35+21y+4y=-15      25y=-50    y=-2

x=-1  

4) {y=3-4x

   {7x-2(3-4x)=39

{y=3-4x

{7x-6+8x=39    15x=45     x=3

y=3-4*3               y=-9

6) {y=2-9x

   {6x-5(2-9x)=41

{y=2-9x

{6x-10+45x=41     51x=51   x=1

y=2-9*1             y=-7

Вас заинтересует