• Предмет: Математика
  • Автор: truboebka228
  • Вопрос задан 3 года назад

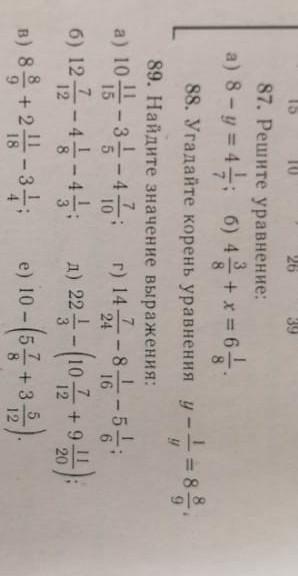
87 и 89 , отдам 25 баллов ​

Приложения:

akbaryakubov12: Извини незнаю
truboebka228: а зачем тогда писать,если не знаете...

Ответы

Ответ дал: ylia160807
1

Ответ:

в прикреплённых фото. вроде всё правильно

Приложения:

truboebka228: СПАСИБО❤
ylia160807: сделаешь лучшим ответом, пожалуйста
Вас заинтересует