Ответы
Ответ дал:
0
Ответ:
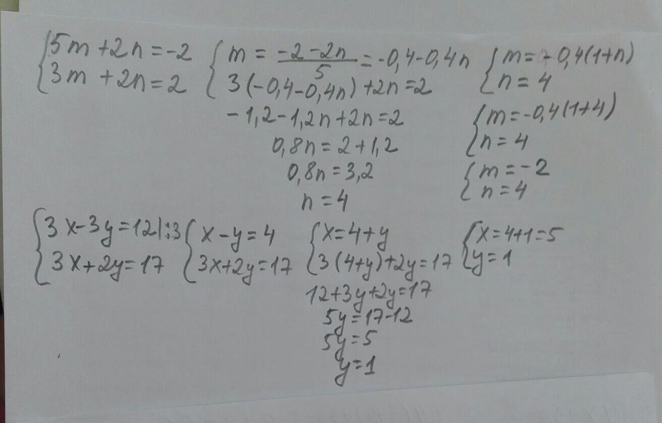
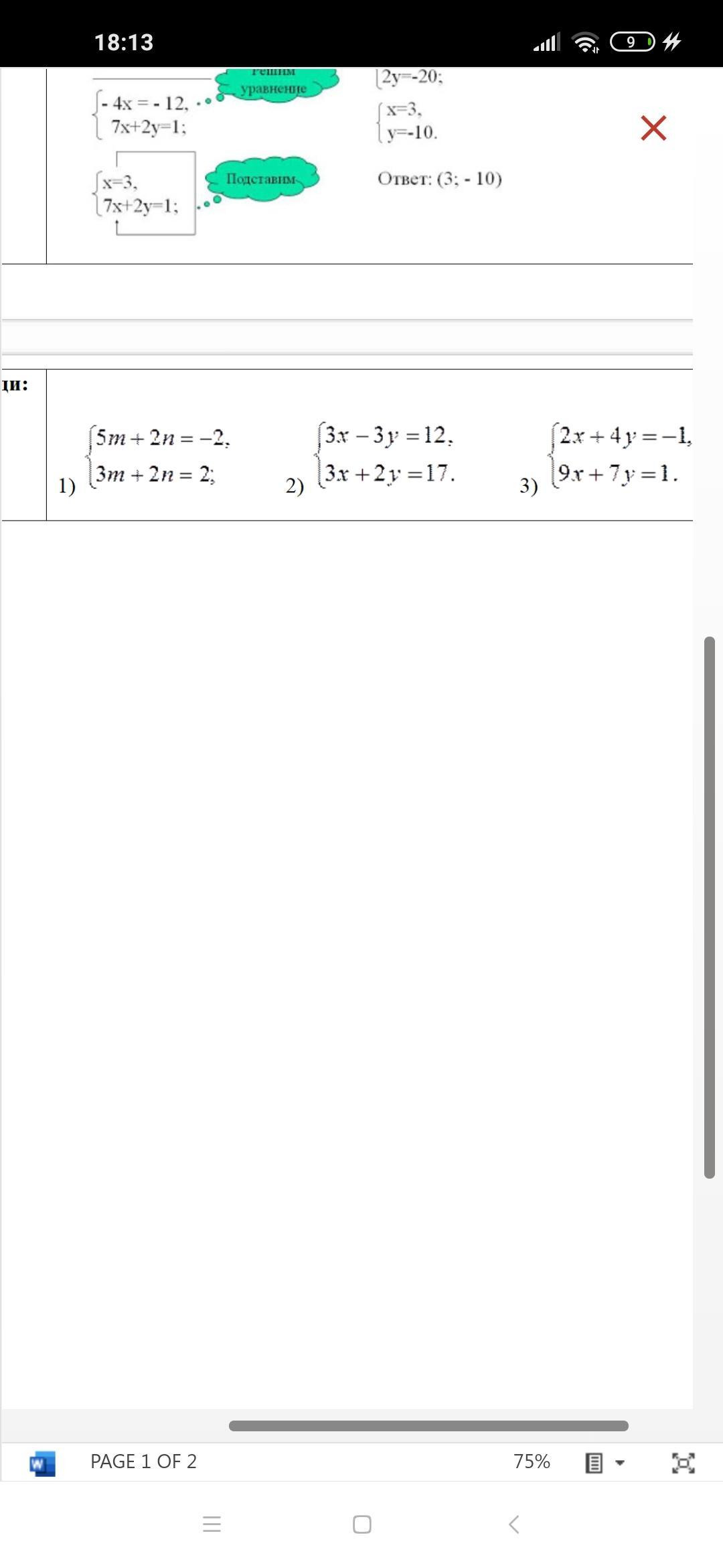
решение системы уравнений способом подстановки
Приложения:


Вас заинтересует
2 года назад
2 года назад
2 года назад
8 лет назад