Ответы
Ответ дал:
0
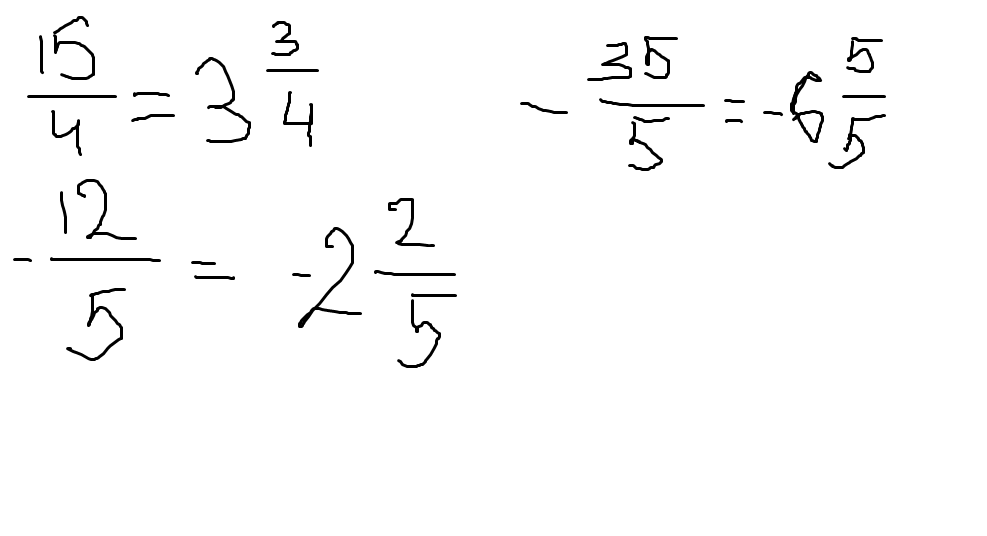
1) 3,75; 2) -2,4; 3) -7;
Ответ дал:
0
держи, всё в прикреплённом файле. если нужно именно в виде смешанной дроби, то последнее число так, как я написала, а вообще это -7
Приложения:

Вас заинтересует
2 года назад
2 года назад
8 лет назад
8 лет назад
10 лет назад
10 лет назад
10 лет назад