• Предмет: Математика
  • Автор: Аноним
  • Вопрос задан 3 года назад

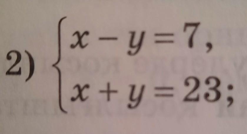
помогите пожалуйста ТЕНДЕУЛЕРДЫН ЖУЙЕСЫН ШЕШЫНЖЕР ПОЖАЛУЙСТА БЫСТРОНУЖНО ​

Приложения:

Ответы

Ответ дал: ulilike161
0

Пошаговое объяснение:

x=7+y

x+y=23

(7+y)+y=23

7+2y=23

2y=16

y=8

x=7+y=15

Вас заинтересует