• Предмет: Алгебра
  • Автор: AngelGirla
  • Вопрос задан 3 года назад

Помогите пожалуйста срочно

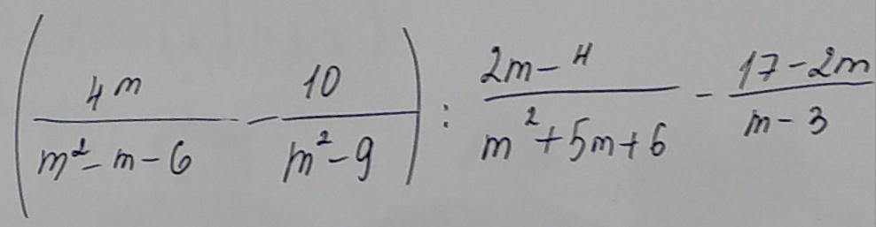
Приложения:

Ответы

Ответ дал: kenzinakarina
1

Объяснение:

там пошагово, надеюсь поймëшь, ответ кароче 4

Приложения:
Вас заинтересует