• Предмет: Алгебра
  • Автор: trofimovi425
  • Вопрос задан 3 года назад

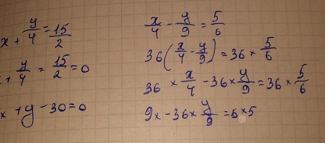
Решите систему уравнений:
x+y/4=15/2
x/4-y/9=5/6

Ответы

Ответ дал: cathat5555
0

Ответ:

ответ на фото

...................................

Приложения:
Вас заинтересует