• Предмет: Алгебра
  • Автор: tentekquz
  • Вопрос задан 3 года назад

СРОЧНООООО найдите значение выражения

Приложения:

Ответы

Ответ дал: ReMiDa
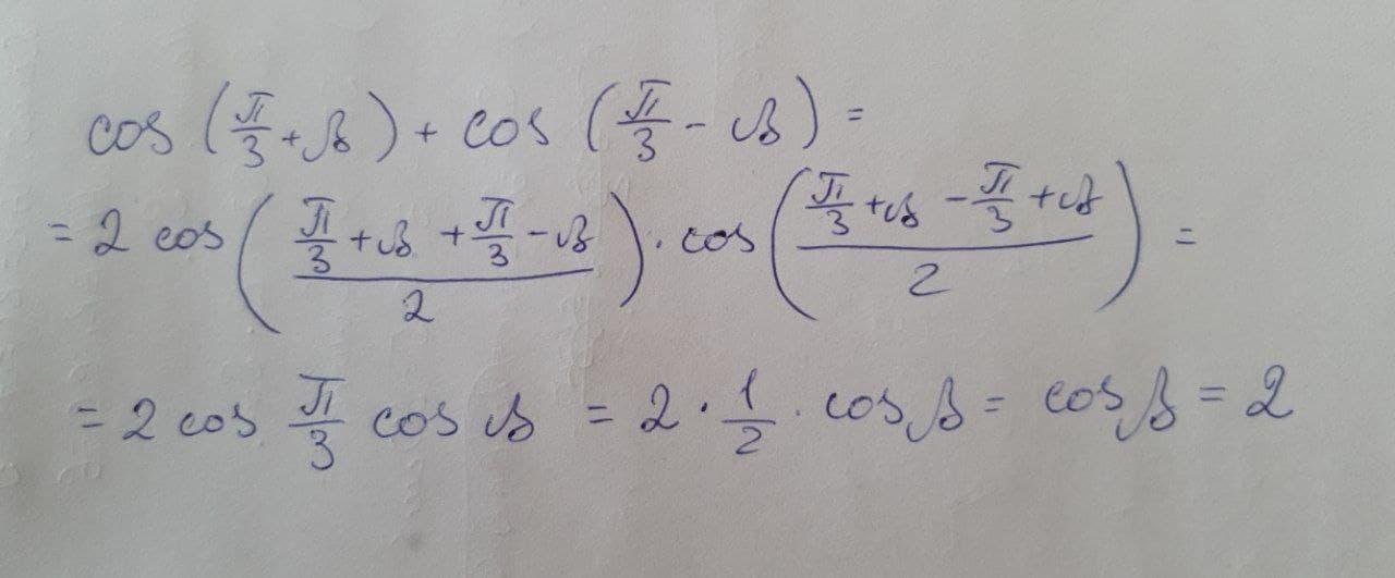
1

Ответ: 2

Объяснение:

cos a+cosβ=2cos(α+β)/2 ⋅ cos(α−β)/2

Приложения:
Вас заинтересует