Ответы
Ответ дал:
2
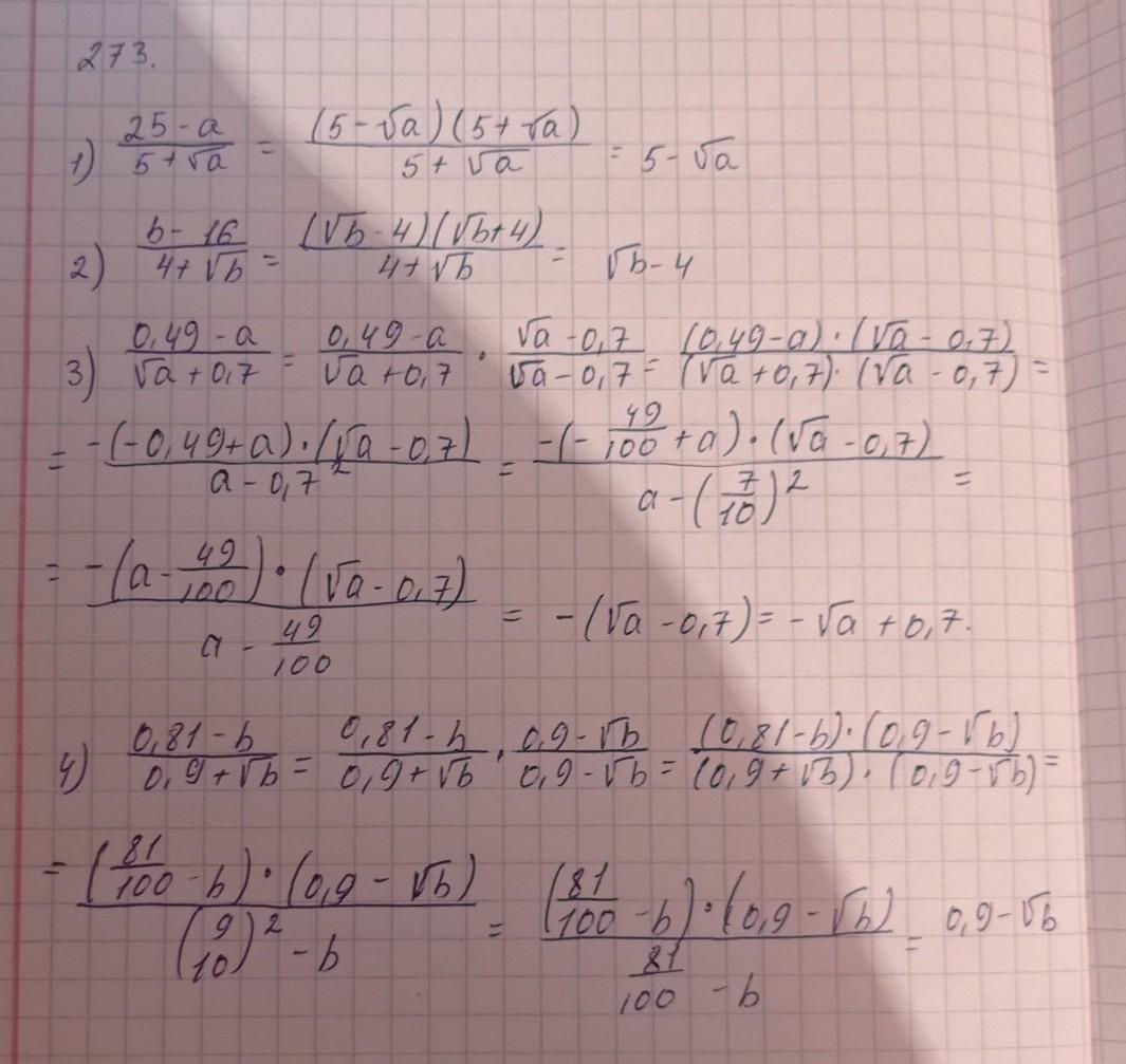
думаю все правильно , извини за мой подчерк
Приложения:

malikakholmuminova:
Спасибо
Вас заинтересует
2 года назад
2 года назад
2 года назад
8 лет назад
8 лет назад
9 лет назад