• Предмет: Математика
  • Автор: ogentZ228
  • Вопрос задан 3 года назад

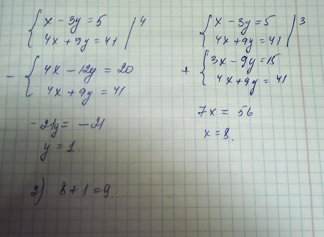
Реши систему уравнений Методом сложения и найди корни

Приложения:

Ответы

Ответ дал: meyl05493
4

Пошаговое объяснение:

я не знаю правильно сделала.тама написано сумма корнец,поэтому прибавила ответы :)

Приложения:

mylife27: правильно,спасибо!
zhhibek23: будет 4
angelinapyrvu2: правильный ответ 9 проверила в Онлайн мектеп
meyl05493: спасибо
meyl05493: всем спасибо за сердечку :з
Вас заинтересует