• Предмет: Математика
  • Автор: GaliARzh
  • Вопрос задан 3 года назад

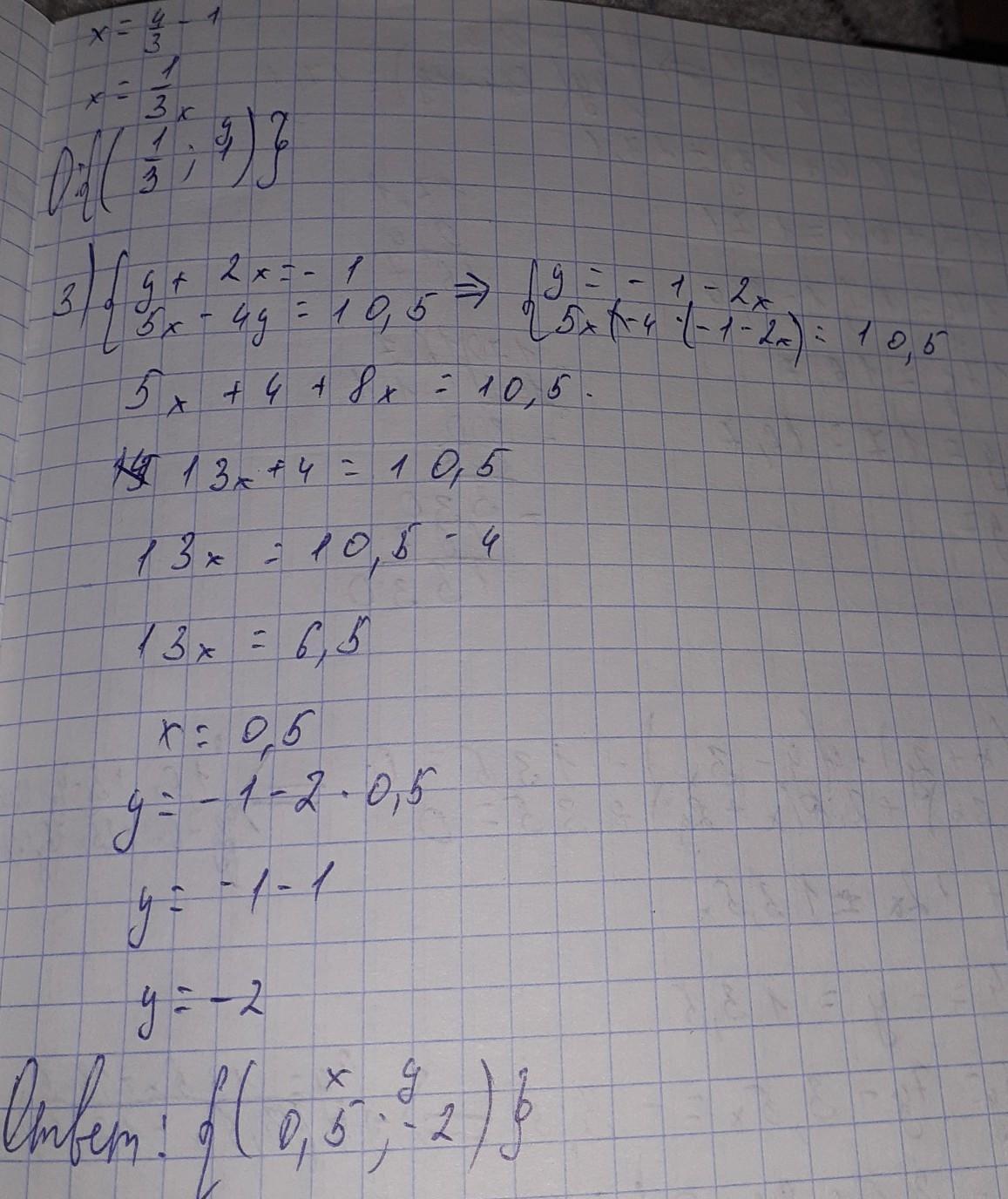
№1275. Найдите решение систем уравнений (3)

Приложения:

Ответы

Ответ дал: faridaibraeva038
12

вот надеюсь помогла

это правильно

решила способом постановки

Приложения:

ainelsalikhova21: МОЖНО 2) ПАЖАЛУЙСТА (я не ору,просто срочно надо)
Вас заинтересует