Ответы
Ответ дал:
1
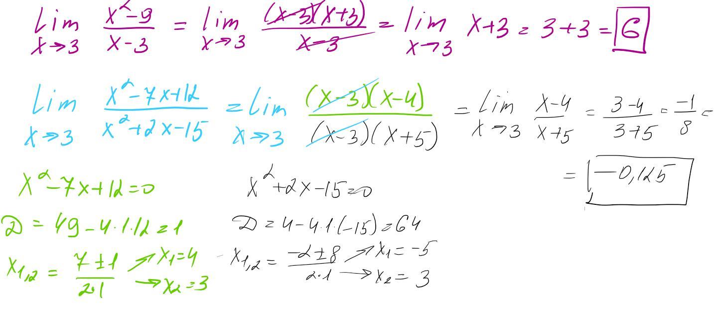
решение на фото........................................................
Приложения:

grinpro4445:
0.(7)=
Вас заинтересует
2 года назад
2 года назад
2 года назад
8 лет назад
9 лет назад