• Предмет: Алгебра
  • Автор: shnitkina170604
  • Вопрос задан 3 года назад

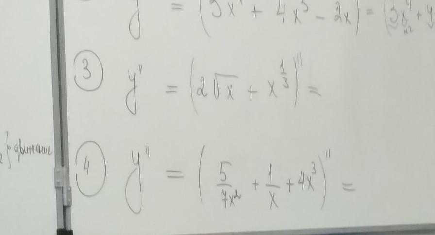
помогите с 2 производной , пожалуйста помогите вам баллы а мне плюс

Приложения:

Ответы

Ответ дал: Miroslava227
0

Ответ:

4.

y =  \frac{5}{7 {x}^{2} }  +  \frac{1}{x}  + 4 {x}^{3}  =  \frac{5}{7}  {x}^{ - 2}  +  {x}^{ - 1}  + 4 {x}^{3}  \\

y' =  \frac{5}{7}  \times ( - 2) {x}^{ - 3}  -  {x}^{ - 2}  + 12 {x}^{2}  =  \\  =  -  \frac{10}{7 {x}^{3} }  -  \frac{1}{ {x}^{2} }  + 12 {x}^{2}

y'' =  -  \frac{10}{7}  \times ( - 3) {x}^{ - 4}  + 2 {x}^{ - 3}  + 24x =  \\  =  \frac{30}{7 {x}^{4} }  +  \frac{2}{ {x}^{3} }  + 24x


shnitkina170604: уже не надо но спасибо
Вас заинтересует