• Предмет: Алгебра
  • Автор: svetlovaevgenia67
  • Вопрос задан 3 года назад

помогите с подробным решением​

Приложения:

Ответы

Ответ дал: Nastya13468
0

Ответ:

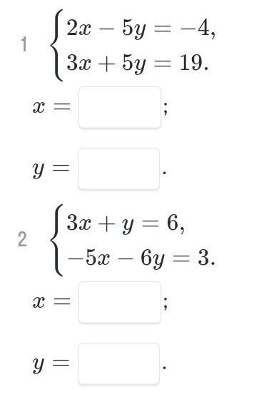
1).х=3, у=2     2).х=3 ,у=-3

Объяснение:


svetlovaevgenia67: а можно подробное объяснение
Вас заинтересует