• Предмет: Алгебра
  • Автор: svetlovaevgenia67
  • Вопрос задан 3 года назад

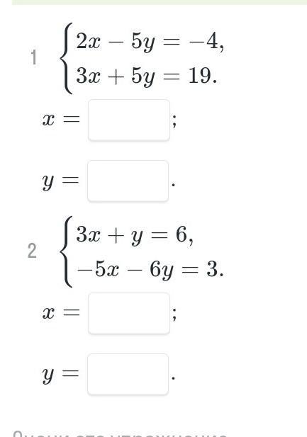
помогите с подробным решением​

Приложения:

Ответы

Ответ дал: Elizaveta0956
0

Ответ:

решу первое

х=3

у=2

Объяснение:

если решать методом сложения, то игрики сразу сокращаются

получается

5х=15

х=3

у=2

Вас заинтересует