• Предмет: Алгебра
  • Автор: Аноним
  • Вопрос задан 3 года назад

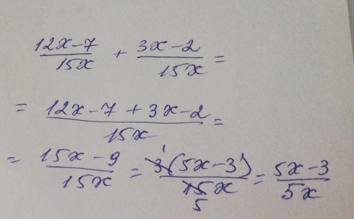
выполните действия : 12х-7/15х+3х-2/15х​

Приложения:

Ответы

Ответ дал: serovaksusa1
6

Ответ:

Смотри решение на фото

Приложения:

earistan0705: правильно?
nyashka7866: да
aidyn77: правильно?
Вас заинтересует