• Предмет: Алгебра
  • Автор: secretik31
  • Вопрос задан 3 года назад

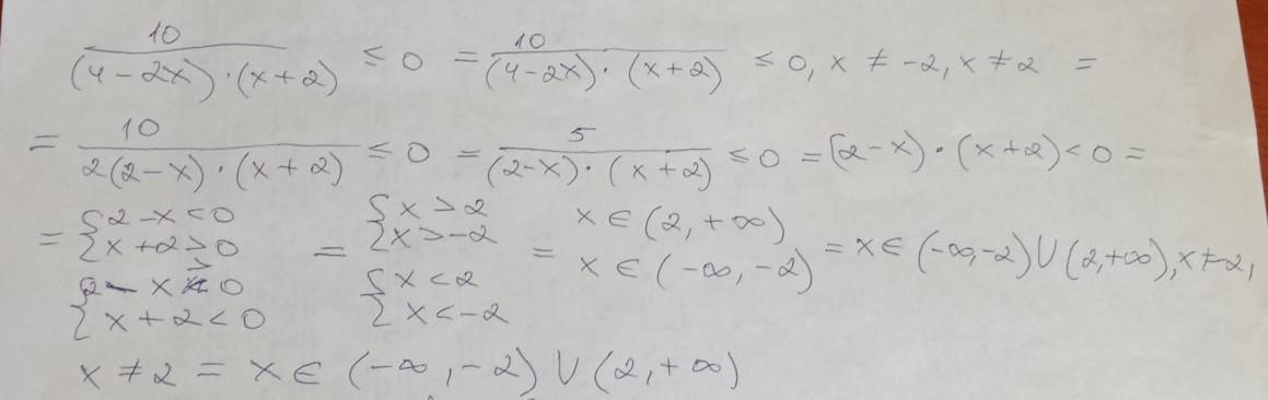
3. решите неравенство: 10/ (4-2x) (x + 2) ≤0​

Приложения:

aryslam2200: есть ответ ?

Ответы

Ответ дал: hogkguigibihde
15

ОТВЕТ НА БУМАГЕЕЕЕЕЕЕЕЕ

Приложения:

angeelllll: спасибо тебе что дал ответ
galymzanarlan: фотоматч
angeelllll: lol
hogkguigibihde: Да и что тебе какая разница правильно же
agent22828: сори
agent22828: но там в билим ленде 2 ответа
agent22828: а какой 2
Zharas2007: Правильно??
agent22828: у меня есть правильный ответ
agent22828: если у вас билим ленд
Вас заинтересует