Ответы
Ответ дал:
1
Ответ:
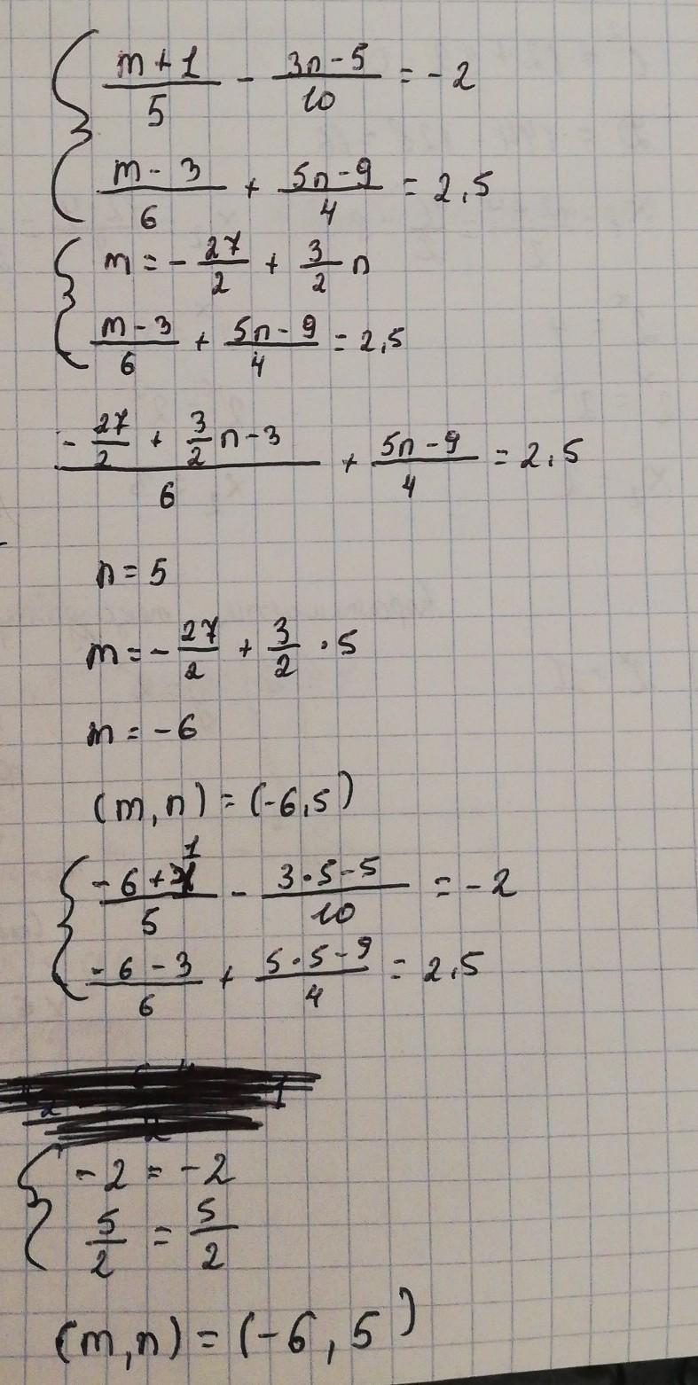
Ответ в тетрадье, все правильно не волнуетесь.
Приложения:

Вас заинтересует
2 года назад
2 года назад
2 года назад
8 лет назад
8 лет назад
9 лет назад