Интеграл математика 40 БАЛЛОВ
Приложения:

dimamedvedev528:
Какой класс?
Ответы
Ответ дал:
0
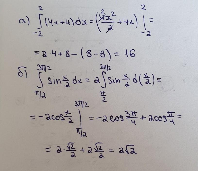
Ответ:
решение на фотографии.
Приложения:

Вас заинтересует
2 года назад
2 года назад
2 года назад
8 лет назад
9 лет назад