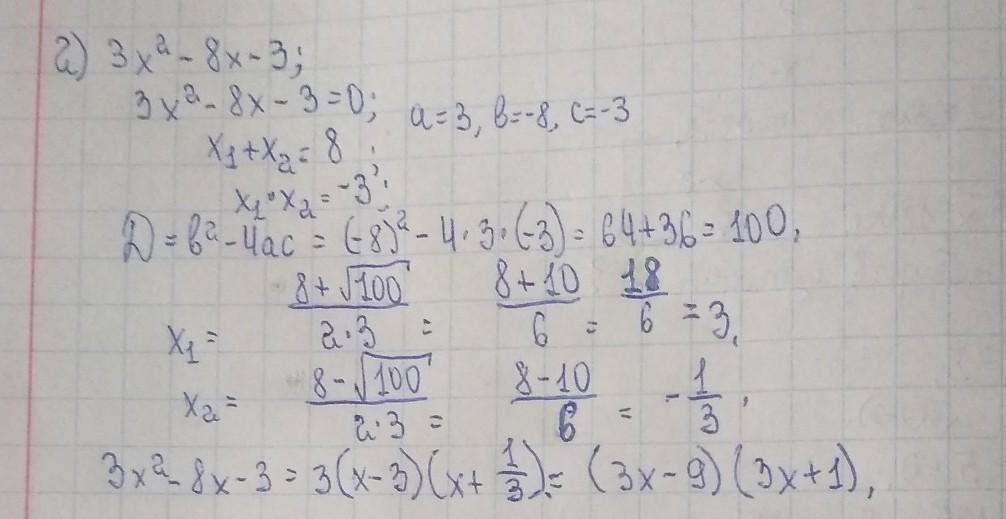
Розкладіть на множники квадратний тричлен:
3х2 - 8x - 3
У відповідь записати: a(x-x)(x-x2), де x1, x2 - корені
рівняння
Ответы
Ответ дал:
0
Ответ:
.................
Приложения:

Вас заинтересует
2 года назад
2 года назад
8 лет назад
8 лет назад
9 лет назад