• Предмет: Математика
  • Автор: olzaszetpysov
  • Вопрос задан 3 года назад

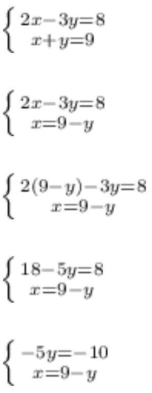
1. Решите с помощью графиков систему уравнений: {2х-3у=8,
{х+у=9 ​

Ответы

Ответ дал: ProstoResheba
1

Ответ:

у=2

х=7

Спасибо за вопрос

Приложения:
Вас заинтересует