• Предмет: Математика
  • Автор: dudarenkonikita93
  • Вопрос задан 3 года назад

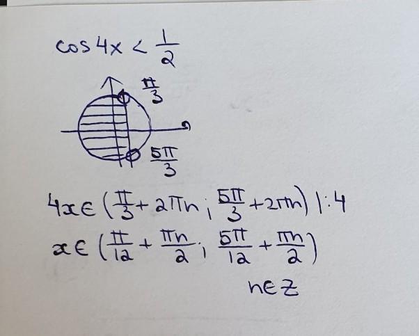
cos 4x<1/2
Сделать окруж. и решение

Ответы

Ответ дал: Miroslava227
0

Ответ:

решение на фотографии.

Приложения:
Вас заинтересует