• Предмет: Алгебра
  • Автор: Doge90
  • Вопрос задан 3 года назад

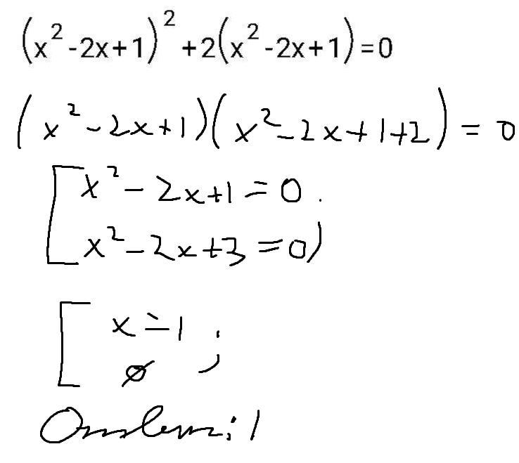
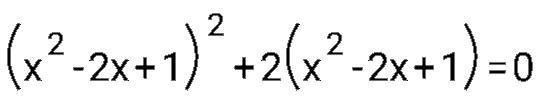
Решить уравнение (ДАЮ 100 БАЛЛОВ ЗА ПРАВИЛЬНЫЙ ОТВЕТ)

Приложения:

Ответы

Ответ дал: mrusipusi
2

решение фото!!!!!!!!!!!!!!!!!

Приложения:
Ответ дал: mashamustafayeva04
2

Все на фото............

Приложения:

Klayzi: Помоги пожалуйста решить: https://znanija.com/task/44447839
Вас заинтересует