• Предмет: Математика
  • Автор: leopard2020leon
  • Вопрос задан 3 года назад

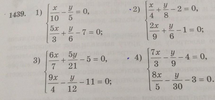
Помогите решить Пожалуйста очень нужно​

Приложения:

Ответы

Ответ дал: lizavr15
1
Сделано путём подстановки через выражение у
Приложения:
Вас заинтересует