• Предмет: Алгебра
  • Автор: albinakarpenchuk
  • Вопрос задан 3 года назад

Помогите, пожалуйста, с алгеброй! ​

Приложения:

Ответы

Ответ дал: Warlock1
0

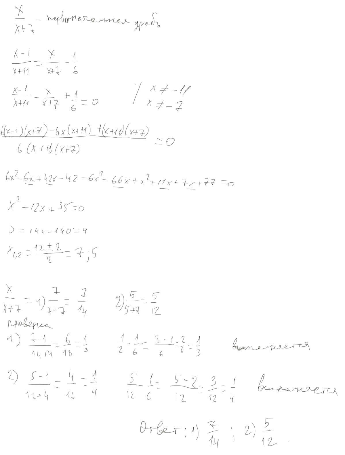
Ответ:

как-то так

Объяснение:

Приложения:

albinakarpenchuk: а почему там в начале х-11, а не х+4
Warlock1: знаменатель увеличили на 4. Знаменатель был х+7
albinakarpenchuk: а, поняла
Вас заинтересует