Ответы
Ответ дал:
0
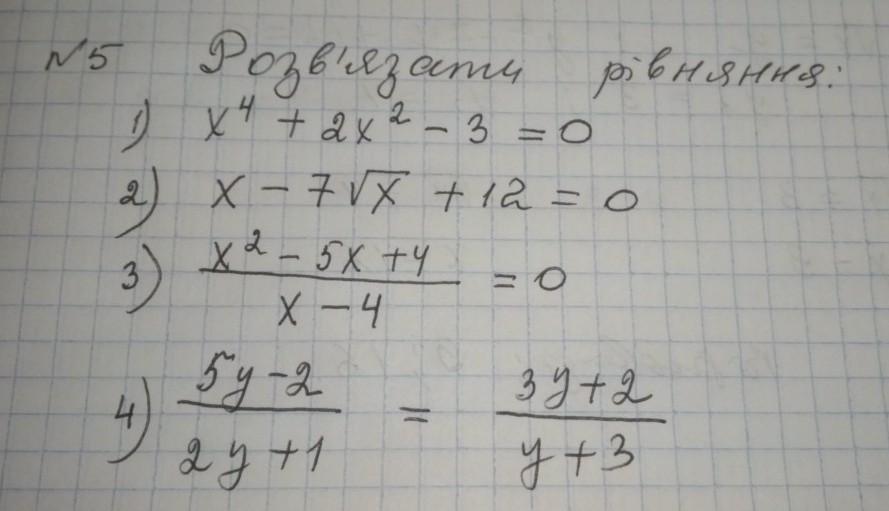
Ответ: решение к первой задаче
Пошаговое объяснение:
Остальные скину чуть позже
Приложения:



Аноним:
пожалуйста скинь
Ответ дал:
1
Ответ:
Сори я сделал только 3 , если не правильно не бань:)
Приложения:



Вас заинтересует
2 года назад
2 года назад
8 лет назад
8 лет назад
9 лет назад