Ответы
Ответ дал:
2
Ответ:
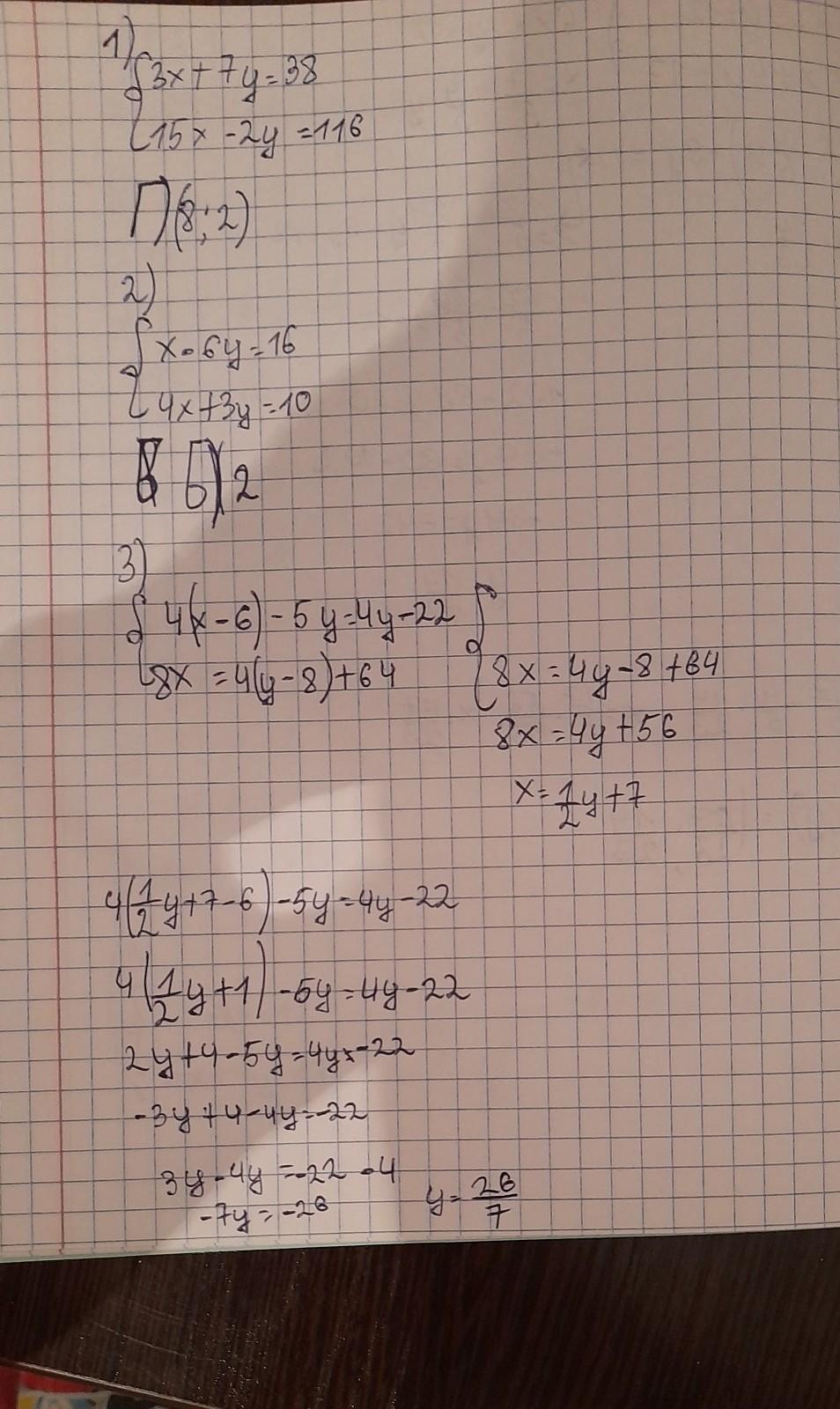
1)Г)(8.2)
2)Б) 2
Пошаговое объяснение:
МОЖНО ЛУЧШИЙ ОТВЕТ ПЛИЗ
АХ ДА ТЫ ГОВОРИЛ 35 баллов НУ ЛАДНО МОЖНО ХОТЯБЫ ЛУЧШИЙ ОТВЕТ ПЛИЗ
Приложения:


Вас заинтересует
2 года назад
2 года назад
8 лет назад
8 лет назад
9 лет назад
9 лет назад