• Предмет: Алгебра
  • Автор: korsuntana747
  • Вопрос задан 3 года назад

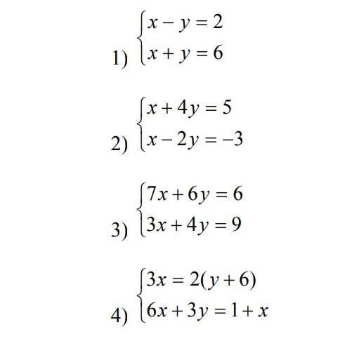
Решите способ добавления​

Приложения:

Ответы

Ответ дал: kubegenmoldir
1

Ответ:

х+у=2

х-у=6

х+у=2

х=6+у

6+у+у=2

х+у=2

6+2у=2

х+у=2

2у=2-6

х+у=2

2у=-4

х+у=2

у=-4/2

х+у=2

у=-2

х+у=2

у=-2

х=2-у

у=-2

х=2-(-2)

у=-2

х=2+2

у=-2

х=4

Объяснение:

Вас заинтересует