• Предмет: Алгебра
  • Автор: Аноним
  • Вопрос задан 3 года назад

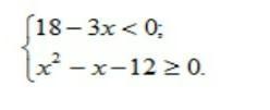
решите систему неравенства

СРОЧНО​

Приложения:

Ответы

Ответ дал: Dyralizpiz
1

Вот так получилось) в 3 строчке 0

Приложения:
Ответ дал: rumanezzo
1

Равносильно системе:

\left\{ \begin{array}{ll}x>6\\(x-4)(x+3)\geq 0\end{array}

Решение - см. в приложении, общая часть решения обоих уравнений - заштрихована! Является решением системы.

Ответ: x ∈ (6; +∞)

Приложения:
Вас заинтересует