• Предмет: Алгебра
  • Автор: almazova25031998
  • Вопрос задан 3 года назад

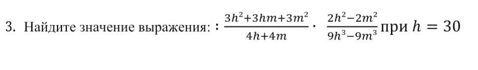
помогите пожалуйста дам очеееет много балов ​

Приложения:

Ответы

Ответ дал: Volfram1235
1

Ответ:

\frac{1}{6}

Объяснение:

Раскладываем на множители затем сокращаем дробь,

и получаем выражение \frac{1}{2} * \frac{1}{3}


almazova25031998: спасибо
Ответ дал: kattyinspiration
1
Ответ в прикреплённой фотографии
Приложения:
Вас заинтересует