С
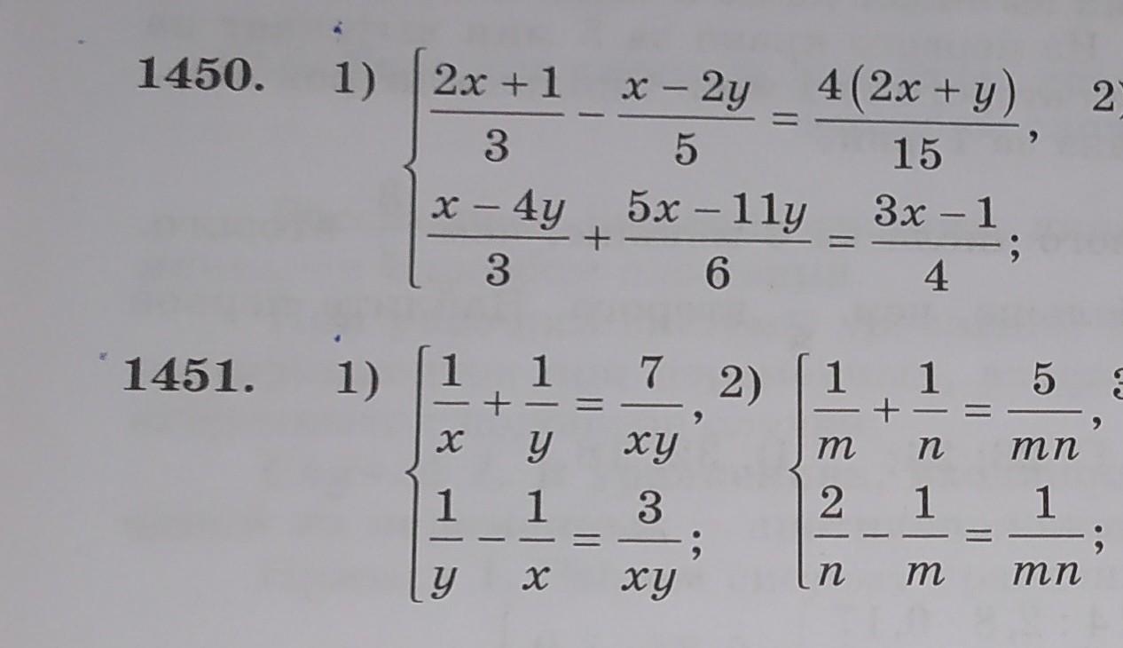
Решите системы уравнений способом подстановки (1450, 1451).
мне нужно только 1 пример с 1450 и 1 пример с 1451. мне просто СРОЧНО надо.
можно на листочке и с подробным решением
Приложения:

Ответы
Ответ дал:
3
Ответ:
решение вот такое
Пошаговое объяснение:
Приложения:

valentinakrupskaa295:
спасибо большое за ответ. Очень очень выручил)
Вас заинтересует
2 года назад
2 года назад
2 года назад
2 года назад
8 лет назад
8 лет назад
9 лет назад