• Предмет: Математика
  • Автор: odonets14071983
  • Вопрос задан 3 года назад

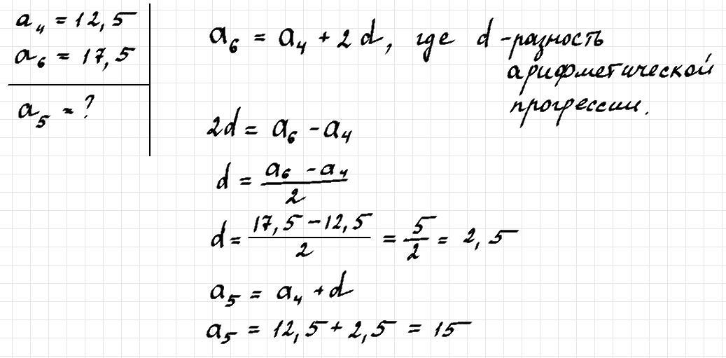
арифметична прогресія a4=12.5,a6=17.5,a5-?​

Ответы

Ответ дал: UluanaV
3

Ответ:

а₅ = 15

Пошаговое объяснение:

Решение на фото

Приложения:
Вас заинтересует