• Предмет: Алгебра
  • Автор: sofiamoroz2016
  • Вопрос задан 3 года назад

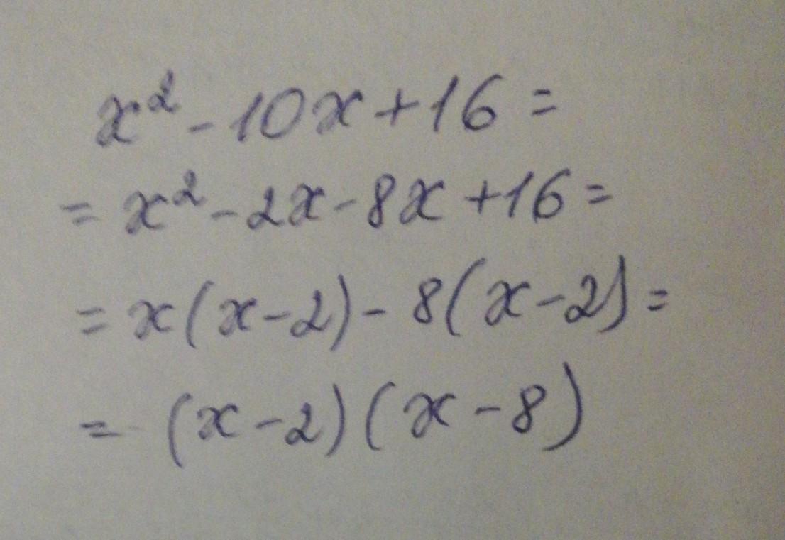
розкладіть множник на квадратний тричнел !!!
Срочнооооо


х²-10х+16 ​

Ответы

Ответ дал: serovaksusa1
1

Ответ:

Смотри решение на фото

Приложения:
Вас заинтересует