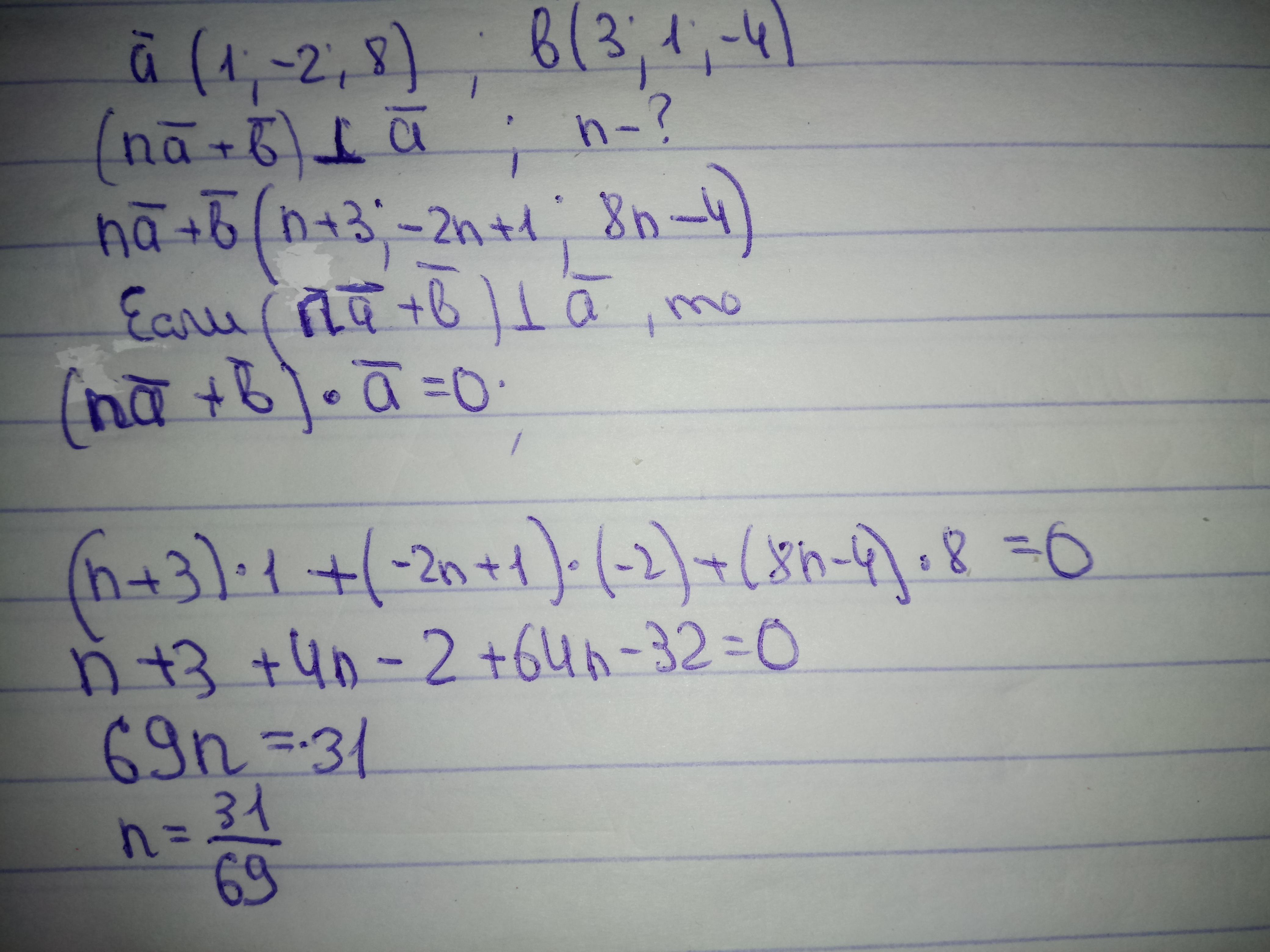
Дано векторы (на фото). Найдите значение n, при котором векторы na+b и а перпендикулярные
Приложения:

Ответы
Ответ дал:
1
Ответ 31/69
Решение задания прилагаю
Приложения:

Вас заинтересует
2 года назад
9 лет назад
9 лет назад