• Предмет: Математика
  • Автор: pochERG
  • Вопрос задан 3 года назад

Решите неравенство, которое на фото. Срочно!

Приложения:

Ответы

Ответ дал: pushpull
0

Ответ:

Пошаговое объяснение:

первым делом области определения для логарифмов

(2-2/х) > 0  ⇒  x > 1

x+3 > 0 ⇒   x > -3

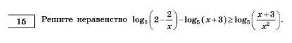
\displaystyle log_5\bigg(2-\frac{2}{x}\bigg ) \geq log_5(x+3)+log_5\bigg(\frac{x+3}{x^2} \bigg )

\displaystyle log_5\bigg(2-\frac{2}{x}\bigg ) \geq log_5\bigg(\frac{(x+3)^2}{x^2} \bigg )

\displaystyle \bigg (2-\frac{2}{x} \bigg )\geq  \frac{(x+3)^2}{x^2}

x(2x-2) ≥ (x+3)²

x² -8x -9 ≥ 0

x² -8x -9 = 0 ⇒  x1=-1   x2= -9

парабола ветвями вверх, поэтому неравенство выполняется для

х ∈(-∞; -1) ∩ (9; 0)

теперь учтем области определения логарифмов и получим

ответ

х ∈ (-3; -1) ∩ (9; +∞)

Вас заинтересует