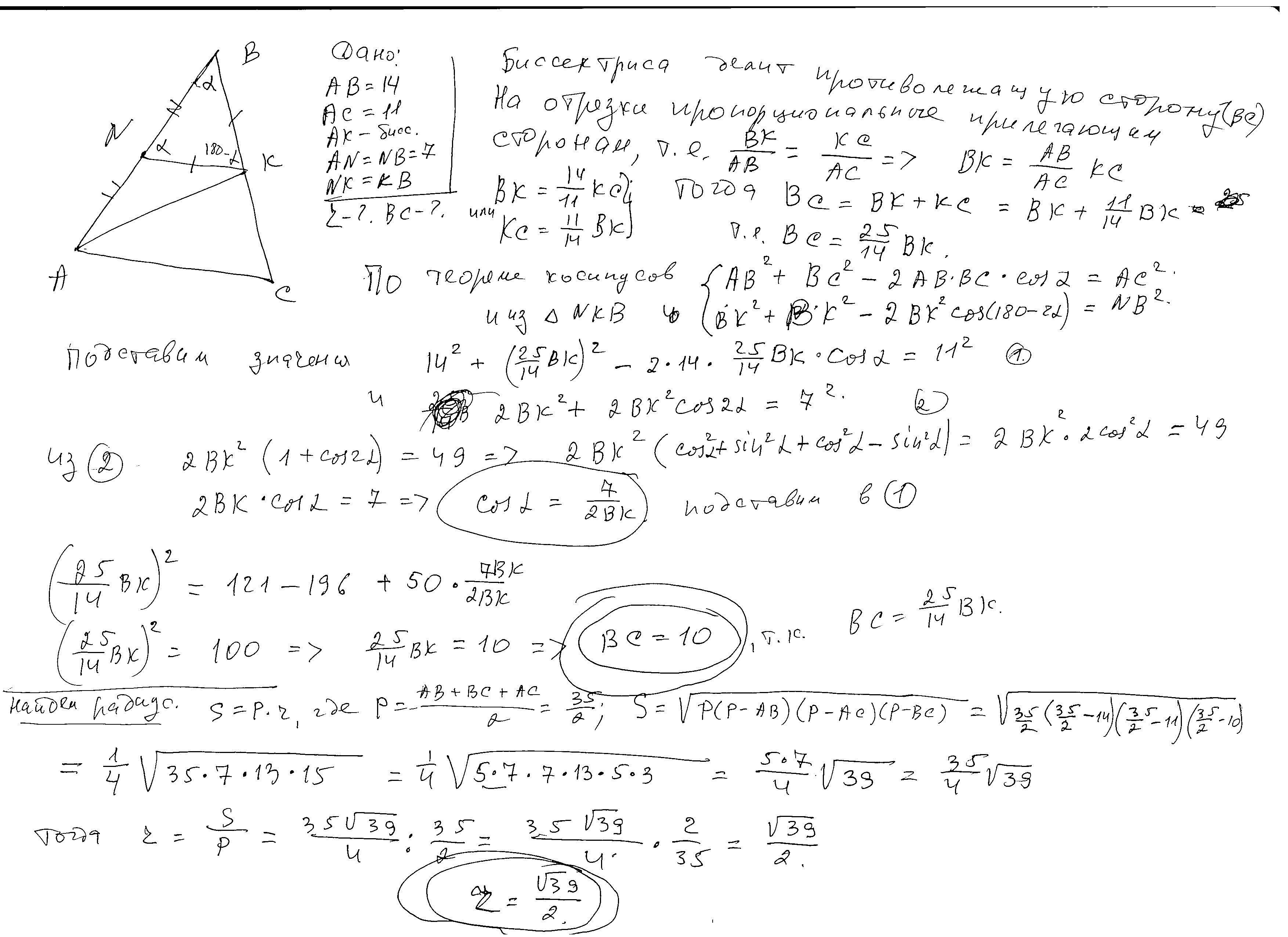
В треугольнике ABC точка N -- середина стороны AB, а точка K на стороне BC --основание биссектрисы, проведённой из вершины A. Оказалось, что KB = KN.
Найдите длину стороны BC и радиус вписанной в треугольник ABC окружности, если известно, что AC=11, AB=14.
Ответы
Ответ дал:
1
Ответ: ВС = 10,
Объяснение: Во вложении.
Приложения:

Вас заинтересует
2 года назад
2 года назад
2 года назад
8 лет назад
8 лет назад
9 лет назад
9 лет назад
√39
/2