• Предмет: Алгебра
  • Автор: dianaabdurahmanova68
  • Вопрос задан 3 года назад

нужно срочно решить!!!​

Приложения:

Ответы

Ответ дал: korykina67
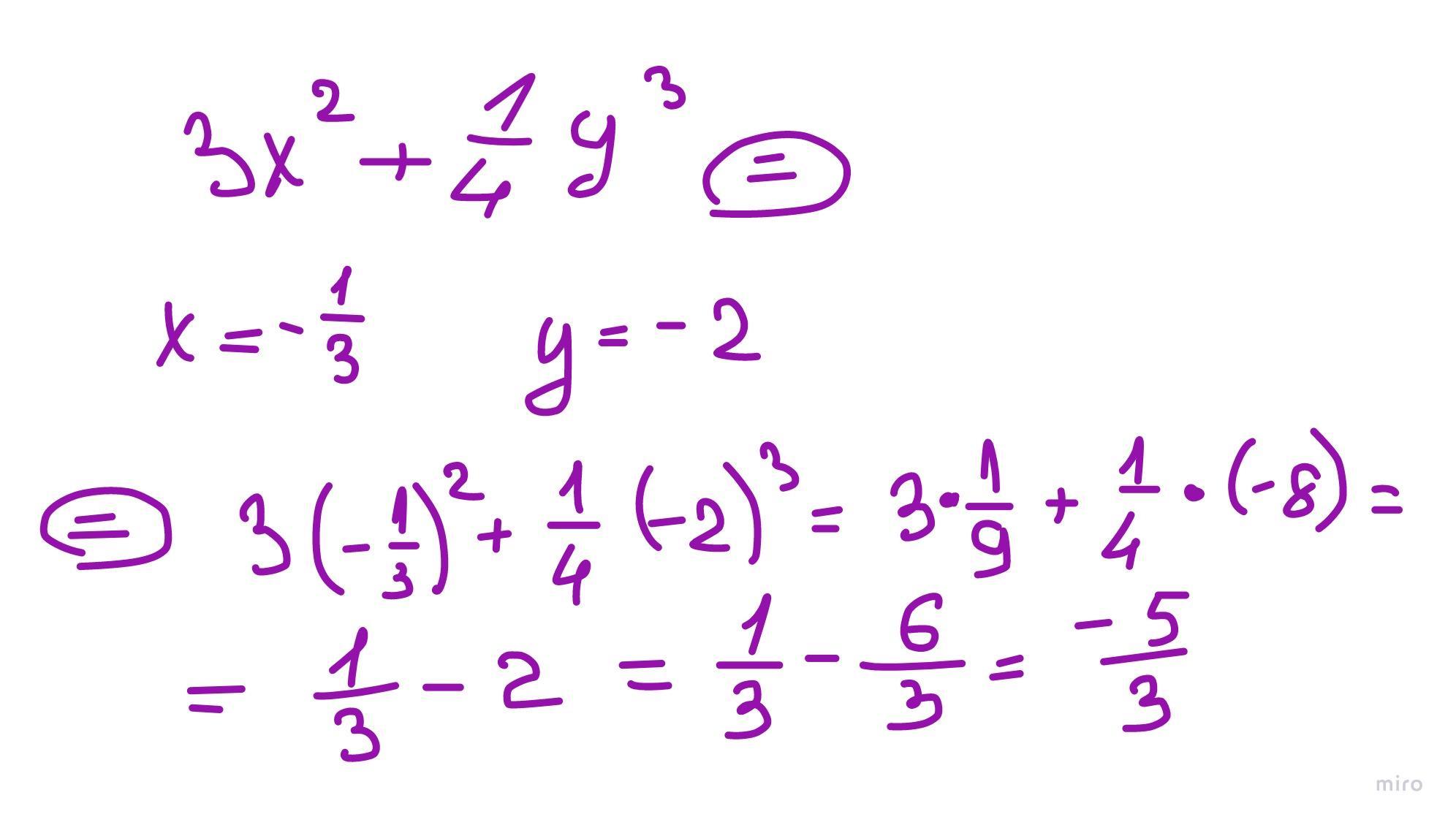
1

Ответ:

-5/3

Объяснение:

Приложения:
Вас заинтересует