помогите пожалуйста СРОЧНО!!!!!
Реши систему неравенств:
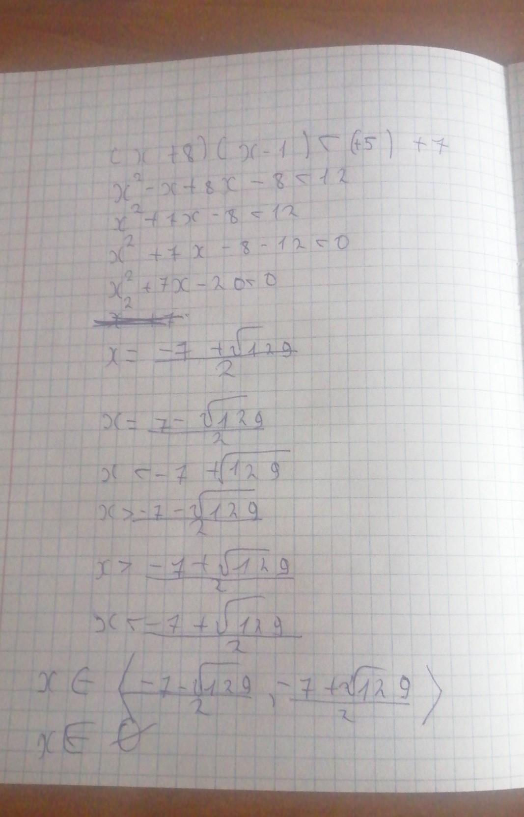
(x +8)(x - 1) < (+5) + 7;
7 +1 < 6(х + 6).
Ответы
Ответ дал:
0
Ответ:
Это первое удачи
Объяснение:
Щяс второе добавлю
Все вот и второе
Приложения:


Вас заинтересует
2 года назад
2 года назад
8 лет назад
8 лет назад
9 лет назад
9 лет назад