• Предмет: Алгебра
  • Автор: arikded
  • Вопрос задан 3 года назад

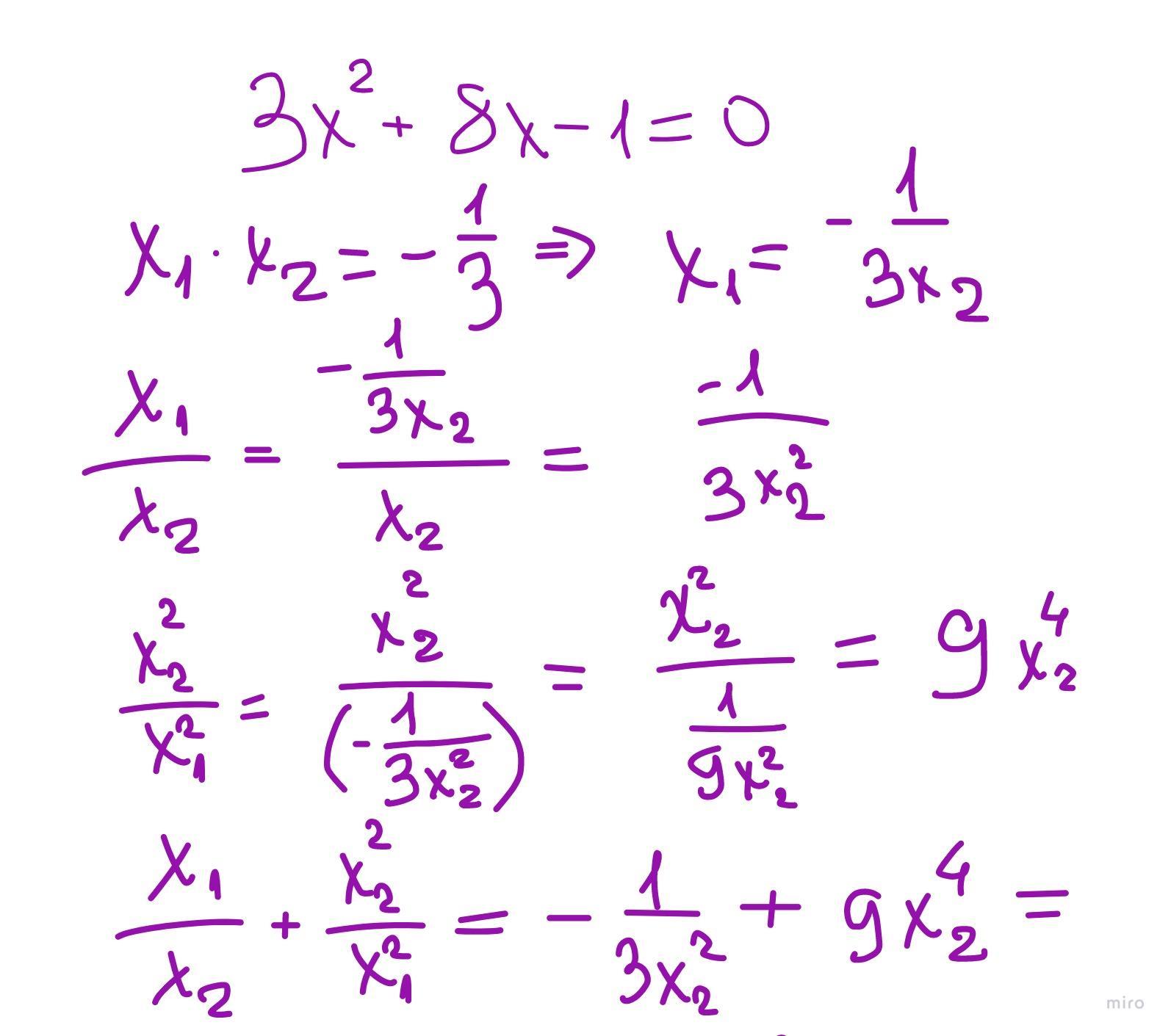
Прошу помогите!! не розв'язуючи рівняння 3x^2+8x-1=0, корені якого x1 і x2 x1/x2+x2^2/x1^2

Ответы

Ответ дал: korykina67
0

Ответ:смотри фото

Объяснение:

Приложения:

korykina67: в конце равно лишнее
Вас заинтересует