• Предмет: Алгебра
  • Автор: tatarnikovdenis099
  • Вопрос задан 3 года назад

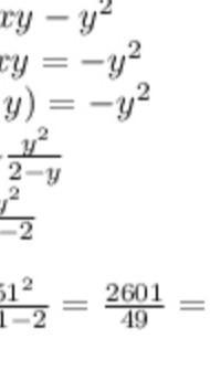
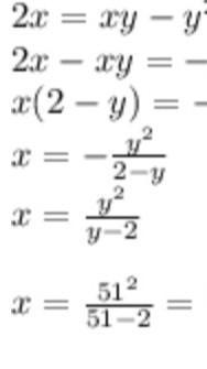
Вырази переменную х из формулы
2x = xу — у2. Найди значение
переменной, если у — 49.​


xacku2020: у=49?

Ответы

Ответ дал: arina2519
1

Ответ:

блин как то так надеюсь что понятно

Объяснение:

.................

Приложения:
Вас заинтересует