решением этой системы служит пара:
(-4;3)
(4;-3)
(-3;4)
(3;-4)
с пошаговым объяснением!
Приложения:

jekadva:
(-3;4)
Ответы
Ответ дал:
1
Ответ:
ответ дан на фотографии
Приложения:

Ответ дал:
3
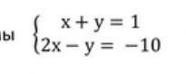
Решаем систему уравнений методом сложения:
Ответ: №3
Вас заинтересует
2 года назад
2 года назад
2 года назад
2 года назад
8 лет назад