• Предмет: Алгебра
  • Автор: 9Delight6
  • Вопрос задан 3 года назад

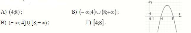
По графику, изображенному на рисунке, вычислите промежутки, в которых функция принимает отрицательные значения

Приложения:

Ответы

Ответ дал: arssol00
0

Ответ:

Функция имеет 4 нуля.g(x)=0 при x=-8

Ответ:B

Вас заинтересует