• Предмет: Химия
  • Автор: Weyn
  • Вопрос задан 3 года назад

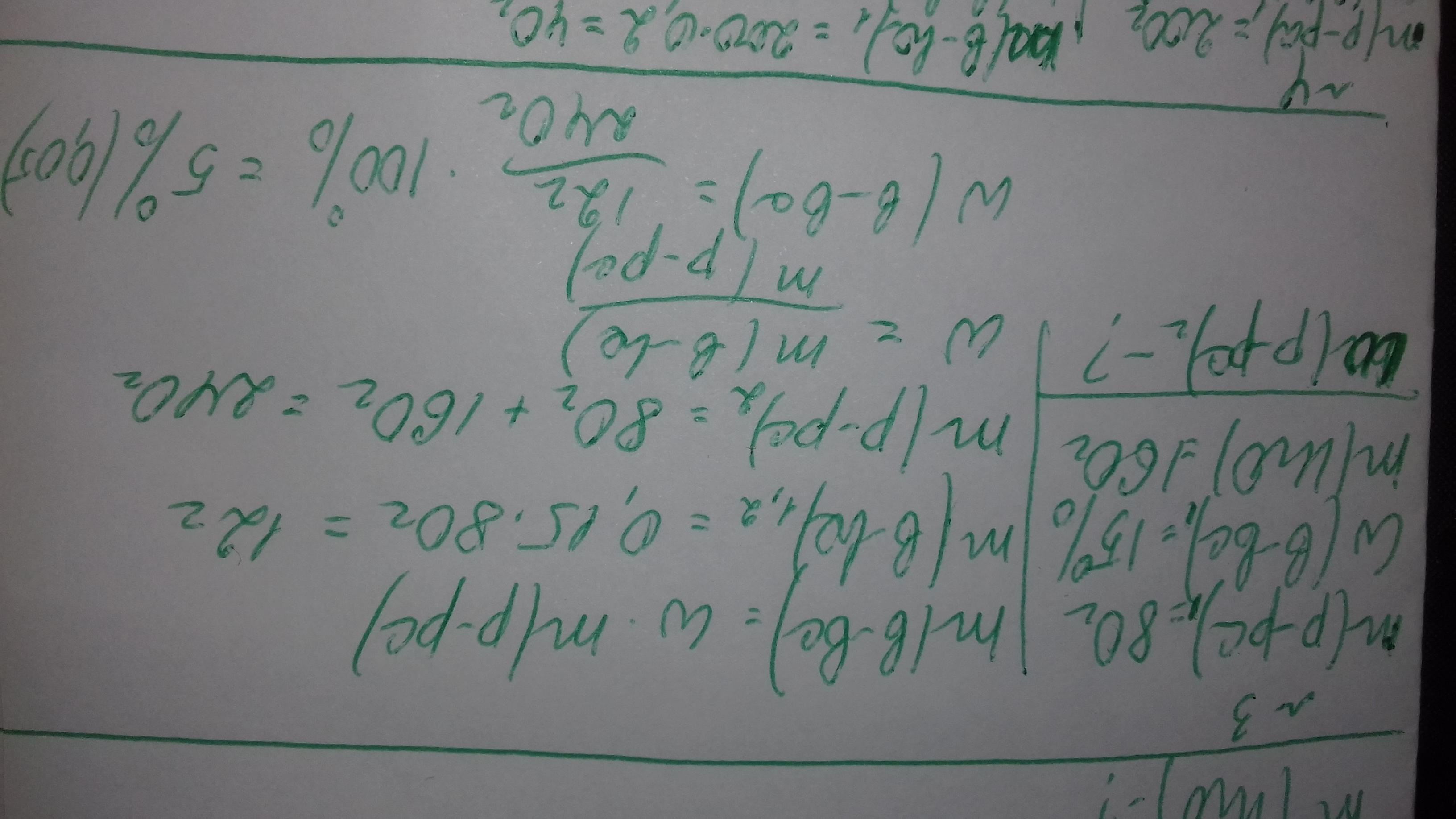
Вес 80г. 15п. 160 г на раствор. была добавлена ​​вода. Найдите массовую долю растворенного вещества в полученном растворе. (5шт.)

Ответы

Ответ дал: jnona
0

решение во вложении                                                                                                                                                                                

Приложения:
Вас заинтересует