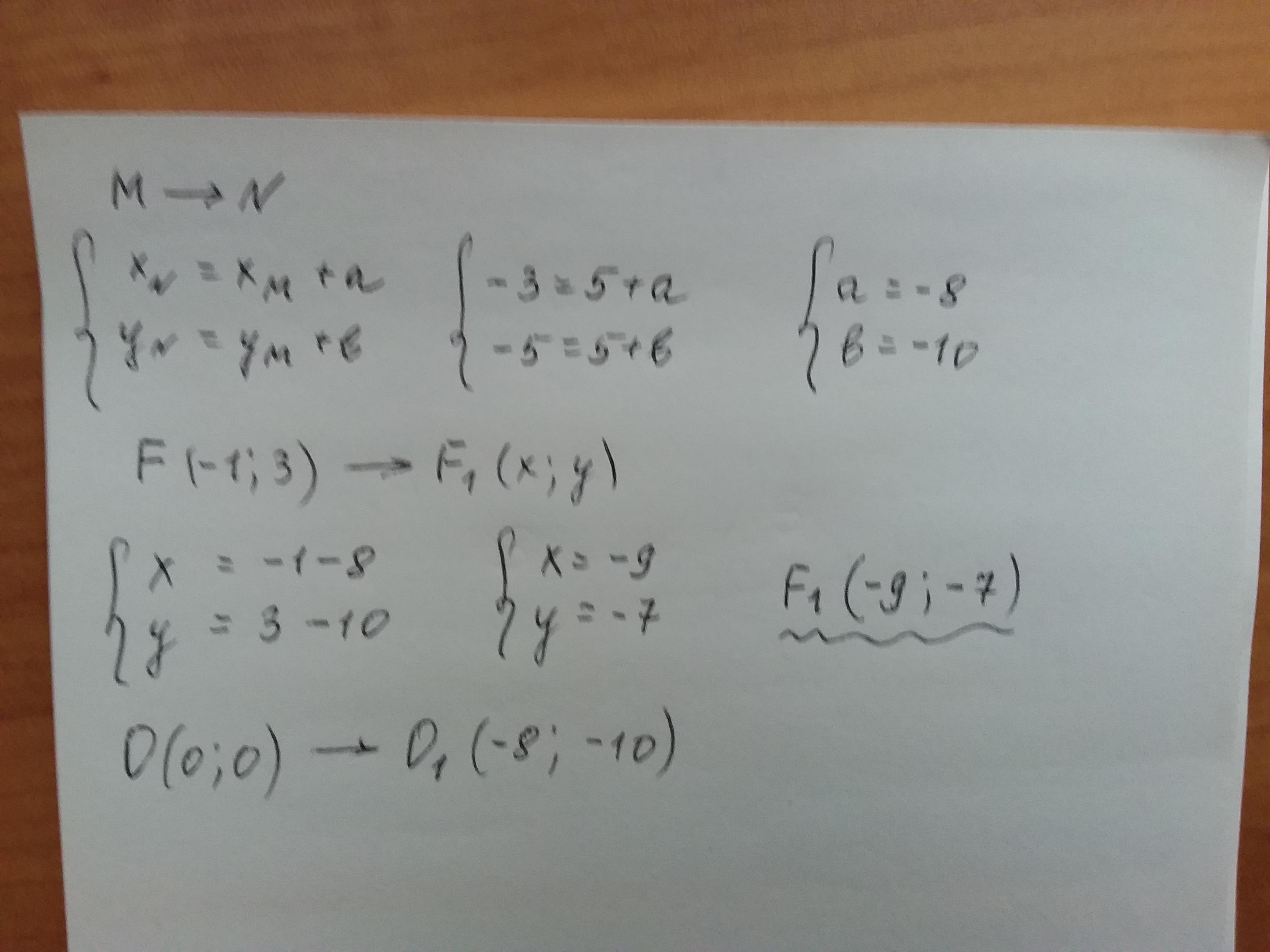
При параллельном переносе точка M(5;5)переходит в точку N(-3;-5). В точку с какими координатами при этом параллельном переносе переходит точка F(-1;3) и начало систем координат?
kanmmu:
(-9;-7) и (-8;-10)
Ответы
Ответ дал:
0
---------------------------
Приложения:

Вас заинтересует
2 года назад
2 года назад
2 года назад
2 года назад
8 лет назад
9 лет назад