Тема: ОБЫКНОВЕННЫЕ ДИФФЕРЕНЦИАЛЬНЫЕ УРАВНЕНИЯ ПЕРВОГО ПОРЯДКА. Ответы только с решением!
Приложения:

Ответы
Ответ дал:
3
Ответ:
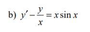
Это линейное ДУ
Замена:
общее решение
Вас заинтересует
2 года назад
2 года назад
2 года назад
2 года назад
8 лет назад
8 лет назад
9 лет назад