• Предмет: Алгебра
  • Автор: kopi0kopi
  • Вопрос задан 3 года назад

Помогите пожалуйста⬇️⬇️⬇️

Приложения:

Ответы

Ответ дал: Аноним
2

Ответ:

Объяснение:

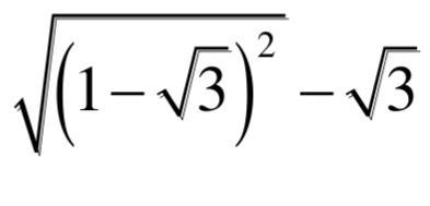
√(a^2) = |a|

|1-√3| - √3. Так как √3 > 1, то модуль раскроется со знаком минус: √3-1-√3 = -1

Вас заинтересует