• Предмет: Алгебра
  • Автор: 6lookiii6
  • Вопрос задан 3 года назад

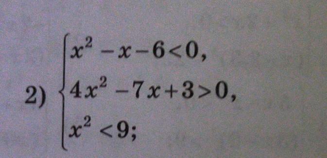
Срочно помогите. Нужен еще интервал ​

Приложения:

Ответы

Ответ дал: karinaberdeseva
1

Ответ:

............................

Приложения:

6lookiii6: Можете дописать интервал? Мне он нужен
mic61: (-бесконечность; -3) объединение (-3;-2) объединение (3/2; +бесконечность)
mic61: Предыдущий автор решил правлильно, а я нет.
Вас заинтересует